รวมกัน 94+ ภาพพื้นหลัง วงรี ภาคตัดกรวย ครบถ้วน

รวมกัน ภาพถ่ายเกี่ยวกับวงรี ภาคตัดกรวย ที่เว็บไซต์ cleverlearn-hocthongminh.edu.vn รวบรวมและจัดทำอย่างดีเยี่ยมค่ะ นอกจากนี้ยังมีภาพถ่ายที่เกี่ยวข้องกับ วงรี ภาคตัดกรวย, โจทย์ ภาคตัดกรวย วงรี พร้อมเฉลย pdf ซึ่งมีรายละเอียดเพิ่มเติมให้ดูที่ด้านล่างค่ะ

วงรี ภาคตัดกรวย

My Image 1
สรุป สูตรภาคตัดกรวย พร้อมเนื้อหาเสริม – TUENONGFREE
My Image 2
Math Learning Trick: ภาคตัดกรวย (วงรี)
My Image 3
วงรี – เรขาคณิตวิเคราะห์
My Image 4
ภาคตัดกรวย conic section: กราฟและสมการของภาคตัดกรวย
My Image 5
สรุป สูตรภาคตัดกรวย พร้อมเนื้อหาเสริม – TUENONGFREE
My Image 6
ALTV ช่อง 4 – คณิตศาสตร์ : ติวข้อสอบ ภาคตัดกรวย – วงรี
My Image 7
Math Learning Trick: ภาคตัดกรวย (วงรี)
My Image 8
สรุป สูตรภาคตัดกรวย พร้อมเนื้อหาเสริม – TUENONGFREE
My Image 9
ภาคตัดกรวย conic section: กราฟและสมการของภาคตัดกรวย
My Image 10
ไฮเปอร์โบลา – ภาคตัดกรวย
My Image 11
สรุปสูตรภาคตัดกรวย ม.4 ขั้นเทพ! ใช้ยาวยันสอบเข้ามหาลัย 100% …
My Image 12
Coo Ca Nit Sad: ภาคตัดกรวย
My Image 13
ภาคตัดกรวย (conics) [2] เป็นเรื่องการเดินทางของจุดที่ทำให้เกิดเส้นโค้ง …
My Image 14
สรุป สูตรภาคตัดกรวย พร้อมเนื้อหาเสริม – TUENONGFREE
My Image 15
คณิตศาสตร์ ม.4 – เรขาคณิตวิเคราะห์ และภาคตัดกรวย – www.panyasociety.com
My Image 16
เรขาคณิตวิเคราะห์ ภาคตัดกรวยของ วงกลม-คณิตศาสตร์ ม.4 – Tuemaster เรียน …
My Image 17
ไฮเปอร์โบลา – ภาคตัดกรวย
My Image 18
ภาคตัดกรวย : วงกลม – GotoKnow
My Image 19
สูตรคณิตศาสตร์: ภาคตัดกรวย
My Image 20
สูตรคณิต ม.ปลาย: ภาคตัดกรวย
My Image 21
สูตรคณิต ม.ปลาย: ภาคตัดกรวย
My Image 22
สรุป สูตรภาคตัดกรวย พร้อมเนื้อหาเสริม – TUENONGFREE
My Image 23
Sự Khác Biệt Giữa Ellipse Và Oval, Cách Vẽ Hình Ô Van
My Image 24
ภาคตัดกรวย – GotoKnow
My Image 25
สรุปเนื้อหาเรื่อง เรขาคณิตวิเคราะห์และภาคตัดกรวย เรื่องวงรี (Ellipse …
My Image 26
วงกลม และโจทย์ปัญหาเกี่ยวกับวงกลมที่เจอบ่อยๆ – NockAcademy
My Image 27
ภาคตัดกรวย : วงรี – GotoKnow
My Image 28
ครูคณิตศาสตร์
My Image 29
ภาคตัดกรวย (Conic Section) ม.4 – Tuemaster เรียนออนไลน์ ม.ปลาย
My Image 30
โน้ตของ MayItutoryou สรุปภาคตัดกรวยทั้งบท – Clear | คณิตศาสตร์, ฟรี
My Image 31
ภาคตัดกรวย : วงรี – GotoKnow
My Image 32
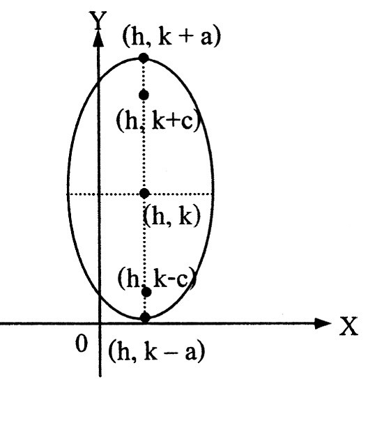
2. สมการวงรีซึ่งมีจุดศูนย์กลางอยู่ที่ (h,k) – wittawat sintorn
My Image 33
Facebook
My Image 34
ข้อสอบ เรขาคณิต วิเคราะห์ ภาคตัดกรวย pdf free download – E-book ฟรี
My Image 35
ภาคตัดกรวย | สาระ ความรู้ ข่าวสาร ความบันเทิง ของชาวมัธยมศึกษา และประถม …
My Image 36
ALTV ช่อง 4 – คณิตศาสตร์ : ติวข้อสอบ ภาคตัดกรวย – วงรี
My Image 37
สูตรคณิต ม.ปลาย: ภาคตัดกรวย
My Image 38
เส้นขอบรูปวงรีกราฟฟิตี, กราฟฟิตีเวกเตอร์, เส้นขอบเวกเตอร์, สีภาพ PNG …
My Image 39
วงรี png 5 » PNG Image
My Image 40
จานกระดาษวงรี 7 นิ้ว – เอ็นไอวี เครื่องครัว NIV Kitchenware Co.,Ltd
My Image 41
ฉลากรูปวงรีสีแดง PNG สำหรับการดาวน์โหลดฟรี – Lovepik
My Image 42
กรอบรูปวงรี | องค์ประกอบกราฟฟิก แบบ AI ดาวน์โหลดฟรี – Pikbest
My Image 43
‪สรุป สูตร ภาคตัดกรวย… – The Matrix คณิต พี่โก้ – ออนไลน์ | فېسبوک‬
My Image 44
กระจกกรอบอะลูมิเนียม วงรี KASSA รุ่น KS-1209 ขนาด 35 x 151 ซม. สีดำ …
My Image 45
7.สเกตภาพ – Chaopriya
My Image 46
วงรีการ์ตูนเวกเตอร์ใบเส้นขอบเดิม PNG สำหรับการดาวน์โหลดฟรี – Lovepik
My Image 47
OpenDurian on Twitter: “โจทย์จำนวนเชิงซ้อนคณิต9วิชา แต่จริงๆ ใช้นิยาม …
My Image 48
เครื่องมือวาดวงรี อิสระ ไอคอน – Icon-Icons.com
My Image 49
PAT1 – 58 ภาคตัดกรวย วงรี +… – คณิตง่าย ๆ โดยครูจิ๊บ | Facebook
My Image 50
วงกลมสีเขียวขุ่นคณิตศาสตร์ตรีโกณมิติการวิเคราะห์พรีคัลคูลัสและ …
My Image 51
กรอบวงกลม, ชมพู, อ่อน, เหลือง, คุณสมบัติของวัสดุ, เพดาน, วงรี, ม่วงแดง …
My Image 52
สูตรคณิต ม.ปลาย: ภาคตัดกรวย
My Image 53
โบว์ของขวัญคริสต์มาสวงกลมคณิตศาสตร์ตรีโกณมิติวิเคราะห์และภาคตัดกรวย …
My Image 54
รูปเวกเตอร์กรอบรูปกรอบรูปวงรีสีทอง PNG , ตกแต่ง, สีเหลือง, ดอกไม้ภาพ …
My Image 55
1. สมการวงรีซึ่งมีจุดศูนย์กลางอยู่ที่จุดกำเนิด (0,0) – wittawat sintorn
My Image 56
คณิตศาสตร์เครื่องวัดจุดวงกลมสีเหลือง, สีน้ำ, สี, หมึกเปียก, ตรีโกณมิติ …
My Image 57
ดาวน์โหลดฟรี | ป้ายวงรีสีส้ม png | Klipartz
My Image 58
JWEGHL แฟชั่นสำหรับผู้หญิงสแควร์คริสตัลจี้สร้อยคอ Micro Inlay Cubic …
My Image 59
สูตรคณิต ม.ปลาย: ภาคตัดกรวย
My Image 60
กรอบวงรี, วงรีกรอบ, พื้นที่, สีดำ png | PNGEgg
My Image 61
เส้นขอบรูปวงรีสีแดงสร้างสรรค์สไตล์จีน PNG สำหรับการดาวน์โหลดฟรี – Lovepik
My Image 62
ภาคตัดกรวย2 – GeoGebra
My Image 63
รูปกรอบรูปวงรีสีทองและสีเงินสไตล์วินเทจพร้อมน้ำพุสไตล์การ์ตูน 3 มิติ …
My Image 64
รูปขอบลายทองวงรี PNG , ลวดลายสวยงาม, โกลเด้น, รูปวงรีภาพ PNG และ …
My Image 65
สูตรคณิต ม.ปลาย: ภาคตัดกรวย
My Image 66
ดาวน์โหลดฟรี | กรอบวงรีสีขาว, วงรีสีขาว, กรอบสีขาวที่สวยงาม, สวย, กรอบ …
My Image 67
รูปวงรี: ภาพ ภาพสต็อกและเวกเตอร์ | Shutterstock
My Image 68
ขอบรักวงรีสีแดง ดาวน์โหลดรูปภาพ (รหัส) 611696150_ขนาด 5.5 MB_รูปแบบรูป …
My Image 69
กรอบหลุยส์วงรี งานเรซิ่น
My Image 70
ภาคตัดกรวย conic section: กราฟและสมการของภาคตัดกรวย
My Image 71
ลูกศรวงกลม, พื้นที่ของวงกลม, เส้น, รูปร่าง, ภาคตัดกรวย, รูปทรงเรขาคณิต …
My Image 72
เข็มกลัดวงรี ขนาด 4.5X7 ซ.ม #823415
My Image 73
กล่องไฟ 2 ด้าน แบบวงรี – goodsignstore
My Image 74
สูตรคณิต ม.ปลาย: ภาคตัดกรวย
My Image 75
BL ห่วงตัวยูแป้นวงรีขนาด 40X90 MM
My Image 76
16 พลอย ดำ 05/2023 – Interconex
My Image 77
อิโมติคอนวงกลมการ์ตูนแรงโน้มถ่วง Adscft Correspondence วิทยาศาสตร์ …
My Image 78
ไอเดียการใส่ ‘แหวนหิน’ (Stone Ring) เครื่องประดับสุดเก๋จากหินล้ำค่า สวย …
My Image 79
แหวนนิ้วมือ ประดับไข่มุก ทรงวงรี สามารถปรับได้ สําหรับผู้หญิง ไซซ์ 32 …
My Image 80
บีบอัดไอคอนไอคอน UI วงกลมมิเตอร์อัญมณีทัศนคติร่างกายมนุษย์จอห์นซีน่า …
My Image 81
เรขาคณิตวิเคราะห์และภาคตัดกรวย – Krian Lek
My Image 82
Math Learning Trick: สูตรพื้นที่ รูปเรขาคณิต 2 มิติ
My Image 83
วงกลม ม 4, ม.4 โน้ตของ วงกลม ม.4 ชั้น – Clearnote
My Image 84
กรอบกลมและวงรีสำหรับการออกแบบ, กรอบเวกเตอร์ฟรี, แม่แบบกรอบ, ฟรีภาพ PNG …
My Image 85
เครื่องสำอางรูปไข่, วงรีทอง, เครื่องสำอาง, เครื่องเพชรพลอย png | PNGEgg
My Image 86
สูตรคณิต ม.ปลาย: ภาคตัดกรวย
My Image 87
สูตรคณิต ม.ปลาย: ภาคตัดกรวย
My Image 88
สูตรคณิต ม.ปลาย: ภาคตัดกรวย
My Image 89
รูปวัสดุเหล็กแผ่นโลหะสีเงินวงรี PNG , เงิน, ง่าย, ลวดลายตกแต่งภาพ PNG …
My Image 90
สูตรคณิตศาสตร์: ภาคตัดกรวย สูตร 1
My Image 91
ภาคตัดกรวย conic section: กราฟและสมการของภาคตัดกรวย
My Image 92
เครื่องเดินวงรี รุ่น E21-ระบบไฟฟ้า น้ำหนักจาน 12 กิโลกรัม – yellyshop …
My Image 93
ป้ายไฟหน้าร้าน แบบวงกลม | Shopee Thailand
My Image 94
วงกลม ม 4, ม.4 โน้ตของ วงกลม ม.4 ชั้น – Clearnote
ขอขอบคุณสำหรับการดูบทความ วงรี ภาคตัดกรวย ที่ cleverlearn-hocthongminh.edu.vn ค่ะ คุณสามารถแสดงความคิดเห็น และดูบทความที่เกี่ยวข้องเพิ่มเติมด้านล่างค่ะ หวังว่าจะช่วยเสริมสร้างข้อมูลที่น่าสนใจให้กับคุณค่ะ

Related Posts